En un campo que no deja de acelerar, esta edición de 'MondAI' te trae los movimientos más recientes en la carrera de la inteligencia artificial. Desde la intensificación de la competencia en el código abierto hasta hitos que antes parecían ciencia ficción, te preparamos para entender lo que realmente importa.
Decisiones Geopolíticas por IA: ¿Un Futuro Distópico? 🌍📉
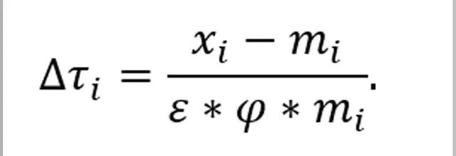
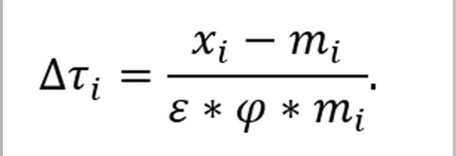
Se reveló que la administración Trump utilizó una fórmula, presuntamente calculada por IA, para determinar aranceles comerciales. Sin embargo, expertos critican duramente la falta de metodología profesional, señalando inconsistencias y una fórmula aparentemente simplista (déficit comercial / importaciones totales / 2) que ignora factores clave como los aranceles recíprocos. Aumenta el desconcierto el hecho de que la lista de territorios para aplicar aranceles parece basarse en dominios de internet (.cc, .tv, .io) en lugar de países reales, incluyendo islas deshabitadas sin comercio exterior. Estas irregularidades alimentan la especulación de que una IA generó la tabla sin supervisión adecuada, generando preocupación sobre las consecuencias de usar métodos tan opacos y potencialmente erróneos en el comercio global.
Futurinota 📝: El uso de IA para calcular aranceles, como se reporta en la administración Trump, es profundamente alarmante. Delegar decisiones geopolíticas y económicas de esta magnitud a modelos de lenguaje, cuyas 'lógicas' pueden carecer de contexto humano, empatía o una comprensión real de las extremadamente complejas consecuencias globales, es jugar con fuego. ¿Estamos realmente preparados para un futuro donde la diplomacia y la economía mundial dependan de 'cajas negras' algorítmicas opacas e impredecibles?
La Guerra del Código Abierto se Intensifica con Llama 4 y la Respuesta de OpenAI 🔥
Meta ha lanzado una nueva ofensiva en el terreno del código abierto con Llama 4, su nueva familia de modelos de lenguaje. Esta familia incluye versiones como Scout, que presume una ventana de contexto masiva de 10 millones de tokens (ideal para procesar grandes cantidades de información), junto con Maverick y Behemoth. Este movimiento busca consolidar la posición de Meta como un referente en IA accesible y colaborativa.
Pero OpenAI ya no se quiere quedar atrás con el Open Source y ha anunciado planes para lanzar próximamente su propio modelo de código abierto potente. Este cambio estratégico, sumado a un aumento del 30% en los beneficios de ChatGPT en los últimos tres meses, sugiere que OpenAI busca equilibrar su exitoso modelo comercial con una mayor participación en la comunidad. Además, ajustaron su hoja de ruta interna: ahora planean lanzar los modelos O3 y O4 Mini antes del esperado GPT-5, quizás para ofrecer mejoras incrementales más rápidas ante la dura competencia de varios rivales.
Futurinota 📝: Meta apuesta fuerte por la apertura para ganar adopción y comunidad, mientras que OpenAI, tradicionalmente más cerrado, se ve obligado a empezar a abrir sus modelos al publico para no perder terreno. Esta competencia es positiva para desarrolladores y empresas, ya que acelera la innovación y democratiza el acceso a modelos potentes.
Avances en Generación de Video y Avatares por IA 🎬🗣️
La IA sigue avanzando en la creación de contenido multimedia. Runway presentó su modelo Gen 4 para generación de video, aunque las primeras impresiones sugieren que la calidad aún no alcanza a competidores como el modelo BO2 de Google. Por su parte, Meta desarrolló Mocha, un sistema impresionante capaz de generar videos realistas de personas hablando a partir únicamente de una entrada de voz, abriendo enormes posibilidades para la creación de avatares digitales personalizados y la producción de contenido.
Futurinota 📝: La generación de video y avatares realistas por IA está progresando a pasos agigantados. Mocha de Meta, en particular, podría revolucionar desde la creación de asistentes virtuales hasta la producción cinematográfica o de videojuegos, aunque también intensifica el debate sobre los deepfakes y la autenticidad.
¡Oficialmente! La IA Supera el Test de Turing ✅🤯
Un hito histórico: según un estudio de la Universidad de California en San Diego, la inteligencia artificial ha logrado, por primera vez de manera consistente en sus pruebas, pasar el Test de Turing. Este test, propuesto por Alan Turing en 1950, evalúa si una máquina puede exhibir un comportamiento inteligente indistinguible del de un humano en una conversación escrita.
Futurinota 📝: Aunque el Test de Turing tiene sus críticas y limitaciones como medida definitiva de "inteligencia" o "conciencia", superarlo es un símbolo poderoso del avance de los LLM. Marca un antes y un después en la percepción pública y académica de las capacidades de la IA, aunque no signifique necesariamente que la IA "piense" como nosotros.
ACTUALIZACIONES DE HERRAMIENTAS IA ⚙️
ChatGPT (OpenAI): Introdujo una nueva voz personalizada llamada 'Monde', mostrando avances en la naturalidad y adaptabilidad de las voces sintéticas.
Devin: El agente de IA enfocado en programación redujo su precio de entrada, buscando mayor accesibilidad y adopción entre los desarrolladores.
Midjourney: Lanzó su esperada versión 7. Sin embargo, los reportes iniciales indican que las mejoras en la calidad de imagen son consideradas limitadas en comparación con la fuerte competencia, como la generación de imágenes integrada en ChatGPT.
NOTICIAS EXPRESS 🚀
Microsoft Copilot: Presentó actualizaciones en su 50 aniversario, incluyendo avatares estilo Pokémon y la función "actions" para delegar tareas.
Robótica: Kawasaki trabaja en Corleo, un robot cuadrúpedo diseñado para ser montado por humanos, explorando nuevos conceptos de movilidad personal.
Beneficios OpenAI: Se reportó un aumento del 30% en los beneficios de ChatGPT en los últimos tres meses.
IA y Salud Mental: Un estudio mostró resultados positivos de chatbots de IA (supervisados) para apoyar en casos de depresión, ansiedad y trastornos alimenticios.
PromptLab: ¡Hora de Experimentar con IA! 🧪🤯
Analiza la nueva dinámica del mercado de IA con este prompt:
Prompt:
Actúa como un analista de mercado de IA. Compara las estrategias de código abierto de Meta (con Llama 4) y la anunciada por OpenAI. ¿Cuáles son las ventajas y desventajas de cada enfoque? ¿Qué impacto esperas que tenga esta competencia en la innovación, la adopción por parte de empresas y la comunidad de desarrolladores en los próximos 12 meses?Este prompt te ayuda a reflexionar sobre los movimientos estratégicos de los grandes jugadores y sus posibles consecuencias en el ecosistema de la IA. ¡Úsalo para formar tu propia perspectiva!
Conclusión
Esta semana vimos a la IA no solo avanzar en capacidad técnica (superando incluso el Test de Turing), sino también redefinir las estrategias de mercado y del código abierto. Vemos aplicaciones cada vez más sofisticadas en áreas como la salud mental, la generación de contenido y ahora hasta la usan para la toma de decisiones del presidente con más poder en el mundo. Mantenerse al día es de suma importancia para entender hacia dónde se dirige esta nueva tecnología que esta cambiándolo todo.
Hasta la próxima 👋







